对不了解商标的人来说,注册商标还是那么不容易,如果注册过程不顺利,是很浪费时间的,至于费用这一点,不同的注册渠道选择也有区别,下面吾爱知识产权,就来大概解释一下,商标注册的流程和费用,以及一些常见的注册问题。
商标注册费用:
个人注册:商标局征收300元费用。
代理注册:商标局收取300元+代理收取服务费=代理收取费用。
每个代理商收不同的费用,从几百到一千不等。
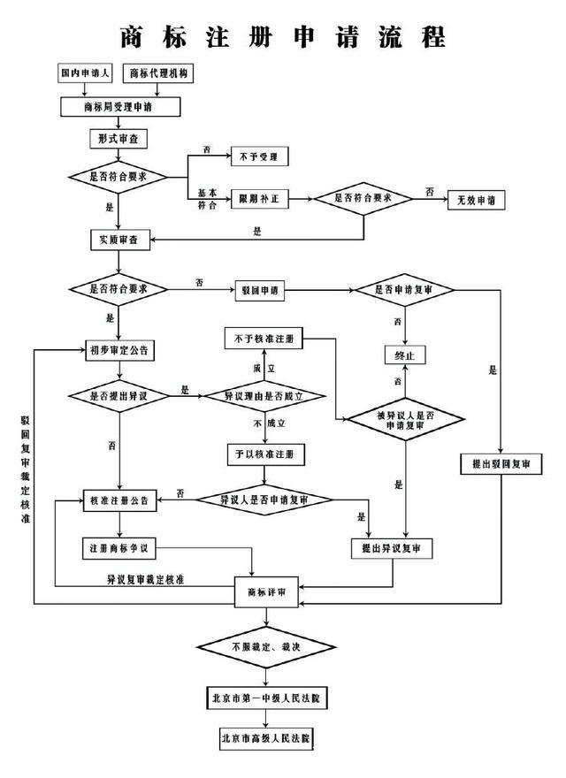
商标注册流程
商标查询(2天内)→申请文件准备(3天内)→提交申请(2天内)→缴纳商标注册费用→商标形式审查(1个月)→下发商标受理通知书→商标实质审查(12个月)→商标公告(3个月)→颁发商标证书。(2014.05.01实施新的商标法,商标实质审查期9个月。)

企业和个人申请商标注册需要提供的申请材料是不一样的,企业注册商标需要提供:营业执照复印件和清晰的商标标识;个人注册商标需要提供:身份证复印件、个人工商户营业执照复印件和清晰的商标标识。
商标注册对于一个公司来说是相当重要的,下面是我总结的十大好处:
1、便于消费者认牌购物,为创名牌打下基础;
2、商标注册证是商品获准进入商场销售的凭证;
3、提高产品的知名度,树立品牌形象;
4、商标注册人拥有商标专用权,受法律保护,别人不敢仿冒,否则就可以告其侵权获得经济赔偿。相反,若被他人抢先注册,则必然失去自己精心策划苦心经营的市场。
5、为申请商标做准备;
6、有助于打开国际市场;
7、商标是一种无形资产,可对其价格进行评估,可以通过转让,许可或质押来实现其价值。
8、增强顾客对产品或服务的信息;
9、商标是办理质检,卫检,条形码等的必要条件;
10、一经注册,10年有效,且可无限期续展。
泉州市顺鑫财务咨询有限公司
服务热线:18759950033微信同号
QQ:508900013@qq.com
网址:http://www.qzsxcw.com/
地址:泉州市泉秀路领秀天地E座401-403
